Состояние рисковой ситуации в деятельности белорусских банков

Страница 1

Рассмотрим состояние рисковой ситуации в кредитной деятельности белорусских банков начиная со второй половины девяностых годов.

Вторая половина девяностых годов стала периодом существенных изменений, значительных структур­ных преобразований и совершенствования деятельности банков Республики Беларусь. Целесообразно дать краткую характеристику сложившейся в послед­ние годы рисковой ситуации в кредитной деятельности банков республики.

Начиная с 1996 года, обострилась проблема своевременного возврата банковских кредитов. По мере увеличения объёмов проводимых банками активных операций, роста кредитных вложений опережающими темпами увеличивалась просроченная задолженность по кредитам банков. Наиболее показательным в этом отношении следует считать 1998 год, когда темпы роста активов, кредитов и просроченной задолжен­ности составили 387 %, 420 % и 510 % соответственно [7, c. 42].

Данные о невозвращенных кредитах свидетельствуют о постоянном росте доли невозвращённых кредитов в портфелях белорусских банков. Так, если на 1.01.1996 года значение этого показателя составляло 12 %, то на 1.01.1997года уже 14 %, а на 1.01.1998 года - 18 %. Максимальный процент проблемных кредитов был зафиксирован в размере 22,1 % по состоянию на 1.01.1999 г. Данные на 1.01.2000 г. отражают снижение величины этого показателя до 17 %.

В сложившейся рисковой ситуации в кредитной деятельности банков нашей республики целесообразно выделить некоторые особенности:

- имеется значительная просроченная задолженность по кредитам банков;

- сокращается величина собственного капитала большинства банков в валютном эквиваленте;

- в объёмах невозвращённых кредитов преобладает доля валютной просрочки;

- отмечается низкая доходность кредитных операций крупных банков;

- формирование резервов на покрытие убытков по ссудам осуществляется не в полном объёме [7, c. 42].

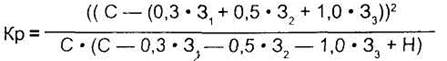
Проведенный нами анализ позволяет констатировать высокий уровень кредитного риска, сопутству­ющего деятельности белорусских банков. В связи с этим возникает проблема качественного измерения и прогнозирования кредитного риска адекватно потенциальным потерям. Эту задачу попытаемся решить, предложив формулу расчёта коэффициента кредитного риска, учитывающего степень полноты создания резервов на покрытие убытков по ссудам.

,

где Кр - коэффициент кредитного риска;

С - величина ссудной задолженности клиентов банка;

З1 32, 33- ссудная задолженность, отнесённая соответственно ко второй, третьей и четвёртой группам риска;

Н -сумма недоначисленного резерва на возможные потери по ссудам [7, c. 43].

Поправочные коэффициенты 0,3; 0,5; 1,0 отражают необходимую величину формирования резерва на возможные потери по ссудам в соответствии с действующим в настоящее время положением Националь­ного банка Республики Беларусь № 775 от 19.08.1996 г.

Рассмотрим задачи, стоящие перед банковской системой по преодолению сложившейся ситуации.

Первостепенной задачей, стоящей перед банковской системой респуб­лики, является направление денежных потоков в экономику и, в первую оче­редь, - в реальный сектор. Валовые кредиты банков экономике за ян­варь-июнь 2002г. увеличились на 452,3 млрд. руб. (или на 17,8%, в реальном выражении они снизились на 2%), в том числе в белорусских рублях - на 186,4 млрд. руб. (или на 14,9%) и в иностранной валюте - на 47,2 млн. USD [11, c. 31].

В 2004 г. ряд предприятий находились в сложном финансовом по­ложении, поэтому кредитные операции не всегда являлись самыми надежными и доходными.

Увлечение высокодоходными, но спекулятивными и высокорискованными операциями, как показал российский кризис, может привести к банкротству да­же самый надежный банк, а банковскую систему - к глубокому кризису. Учиты­вая это, банки должны учиться работать с реальным сектором экономики в лю­бых макроэкономических условиях, поддерживать тесную связь с производитель­ным капиталом. Это является залогом, может быть, не самого быстрого, но на­дежного роста и укрепления как предприятий реального сектора, так и банков.

Страницы: 1 2 3 4 5

Другое по теме:

Основные факторы, влияющие на развитие банковской системы
На процесс развития банковской системы влияет совокупность факторов как внешних по отношению к банковской системе, так и внутренних. К внешним факторам следует отнести макрофакторы, или факторы среды. Эта группа факторов представляет собой вероятностную совокупность взаимоувязанных и взаимообусловл ...

Оценка кредитоспособности заемщика при помощи условной разбивки клиента по классности
Объективная оценка финансовой устойчивости заемщика и учет возможных рисков по кредитным операциям позволяет банку эффективно управлять кредитными ресурсами и получать прибыль. С развитием рыночных отношений возникла необходимость принципиально нового подхода к определению кредитоспособности и фина ...

Исследование рынка международных систем денежных переводов
Исследование рынка международных систем денежных переводов будет состоять из двух этапов. Во-первых, необходимо определить спектр услуг, предлагаемых банками г. Якутска с целью сравнения и выявления лидера среди них. Во-вторых, провести анкетирование трудовых мигрантов, целью которого будет являтьс ...

Главное меню

Copyright © 2025 - All Rights Reserved - www.bankpartition.ru